10 известных людей с супергеройскими способностями
Многие из нас без ума от супергероев, так ведь? Что ж, оказывается они существует не только в комиксах и на экранах, но и в реальной жизни. Так, эти 10 знаменитостей обладают самыми настоящими суперспособностями!
1. Брюс Ли
Движения этого легендарного актера были слишком быстры для камеры. Во время съемок фильма «Зеленый Шершень» Брюс передвигался так молниеносно, что все, что могла уловить камера, — это то, как люди падали вокруг него. Даже замедлив пленку, можно было разглядеть только размытые движения Ли. Вот вам и настоящий Флэш!
2. Мэрилу Хеннер

У этой американской актрисы, сыгравшей в «Анатомии страсти» и в ситкоме «Такси», гипертимезия — то есть Хеннер помнит каждый день своей жизни в деталях. Вы только представьте, каково это! Зато ей не надо мучиться с запоминанием сценария.
3. Стивен Хокинг

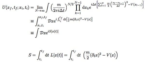
Стивен может решать в уме функциональные интегралы.
Для тех, кто далек от высшей математики, функциональные интегралы выглядят как-то вот так:

4. Брендон Ури, вокалист группы Panic! At the Disco

Этот парень может играть практически на всех музыкальных инструментах. В последнем альбоме группы он сыграл на всех инструментах кроме духовых. Можно сказать, что Брендон эдакий человек-оркестр.
5. Билли Джоэл

У этого американского пианиста и автора-исполнителя синестезия, что значит, что он видит музыку в определенных цветах. Свою способность он использует для написания песен.
6. Айзек Азимов

Писатель-фантаст работал одновременно над несколькими книгами. Дома у него могло стоять сразу три работающих печатных машинки. За всю свою жизнь Азимов написал больше 500 книг.
7. Майк Тайсон

Удар известного боксера был в 4 раза сильнее, чем удар любого другого человека. По силе это такой уже удар, как если бы вас сбила машина на скорости 80 км/ч.
8. Майкл Джексон

Король поп-музыки мог полностью сочинить песню в своей голове, включая текст, лад, аккорды и прочее.
9. Никола Тесла

Изобретатель производил такие сложные вычисления в своей голове, что учитель думал, что он жульничает.
10. Том Круз

Круз может задержать дыхание на 6,5 минут. Научился он так делать на съемках «Миссия невыполнима 5». Похоже этот актер готов на все, чтобы фильм получился действительно хорошим.
Keşfet ile ziyaret ettiğin tüm kategorileri tek akışta gör!


Напишите комментарий